欢迎光临~成都科仪通电子仪器有限公司
服务热线全国服务热线:

028-86032217

您的位置:网站首页 > 公司新闻

公司新闻

信号发生器的基本原理

现代信号发生器的结构非常复杂,与早期的简易信号发生器天差地别,但总体基本结构功能单元还是类似的。信号发生器的主要部件有频率产生单元、调制单元、缓冲放大单元、衰减输出单元、显示单元、控制单元。


图片
图1. 信号发生器的结构单元


频率产生单元是信号发生器的基础和核心。随着PLL锁相环频率合成器电路的兴起,高档信号发生器纷纷采用频率合成技术,其优点是频率输出稳定(频率合成器的参考基准频率由石英晶体产生),频率可以步进调节,频率显示机构可以用数字化显示或者直接设置。早期的高精度信号发生器为了得到较小的频率步进,将锁相环做得非常复杂,成本很高,体积和重量都很大。目前的中高端信号发生器采用了更先进的DDS频率直接合成技术,具有频率输出稳定度高、频率合成范围宽、信号频谱纯净度高等优点。由于DDS芯片高度集成化,所以信号发生器的体积很小。


信号发生器的分类与用途
信号发生器,顾名思义,就是产生我们所需要的信号。从器件的测试,到系统级的研发,从芯片的开发,到仪器的计量,信号发生器无处不在,是仪表中的重头产品之一。

信号发生器有很多种分类方法,按照频率覆盖范围可以分为低频信号发生器、高频信号发生器和微波信号发生器;按照输出信号的类型分类,如射频信号发生器、扫描信号发生器、频率合成器、噪声信号发生器、脉冲信号发生器等等。现在由于调制方式越来越多,可输出数字通信中常用调制信号的矢量信号发生器也大量应用;甚至还有USB等超小型化信号源也开始加入信号发生器的大家族。
信号发生器的指标
信号发生器的工作频率范围、频率稳定度、频率精度、信号频谱纯度都与频率产生单元有关,也是信号发生器性能的重要指标。

下面针对比较重要的高频信号发生器,我们来看一下信号发生器的主要指标:

1
频率特性


这里面比较重要的是频率准确度和频率稳定度。这两个指标如果不准,基本就类似于手枪的瞄准系统失灵,于是乎手枪的子弹就不一定飞向敌人了。。。
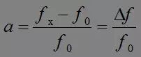
1)频率准确度,表征指频率实际值对其标称值的相对偏差。


图片



2)频率稳定度,指在一定时间间隔内频率准确度的变化,它表征信号源维持工作于恒定频率的能力。


图片
2
幅度特性


幅度特性包括输出幅度范围、幅度精度、幅度分辨率等。如下就是一个典型的高频信号源的幅度相关的典型指标:
Range (-136dBm to +25dBm)
Accuracy (+/- 0.6dB)
Resolution (0.01dB)
Switching Speed (25ms)
Reverse Power Protection(0.5W)


3
频谱纯度


频谱纯度相关的指标比较多,比较重要的有相位噪声、剩余调频和杂散。
连续波信号质量好坏的评估主要在频域上进行,频域上的杂散包含连续和离散成份,它们都对应时域上的失真。连续的噪声边带称为相位噪声,离散的杂散根据其与基波的频率关系分为谐波和杂波。
相位噪声主要由振荡器内部噪声带来,而谐波杂波的形成与器件的非线性有关
vo(t) =a1 vi(t) + a2 vi2(t) + a3 vi3(t) + ...
若输入为理想正弦信号,通过非线性作用输出为:
vo(t) =a1 sin(wt) + a2 sin2(wt) + a3 sin3(wt) + ...
=a2/2 + a1 sin(wt) + 3a3/4 sin(wt)+ a2/2 sin(2wt) + a3/4 sin(3wt) + ...
所以频谱纯度就受影响了。。。
比较典型的频谱纯度示意图大家可以参考下面的这张图2:


图片


图2.频谱纯度示意图


4
调制性能


高频信号发生器在输出正弦波的同时,一般还能输出调幅波和调频波,有的还带有调相和脉冲调制等功能。
当调制信号由信号发生器内部产生时,称为内调制。
当调制信号由外部电路或低频信号发发生器提供时,称为外调制。
高频信号发生器的调制特性包括调制方式、调制频率、调制系数以及调制线性等。


新闻中心

联系我们

联系人:厍长江

手 机:13908210781

邮 箱:keyitongdianzi@163.com

公 司:成都科仪通电子仪器有限公司

地 址:成都市武候区武兴二路1号(吾悦广场1B 812)

用手机扫描二维码关闭
二维码