欢迎光临~成都科仪通电子仪器有限公司
服务热线全国服务热线:

028-86032217

您的位置:网站首页 > 公司新闻

公司新闻

深度解读实时示波器如何实现TDR阻抗测试!

随着计算机、通信系统、视频系统和网络系统中开发的时钟频率和数据速率越来越快,信号完整性越来越重要,如PCIE5.0的数据速率已经达到32Gb/s,USB4.0的信号速率已经达到40Gb/s。要传输这么高速率的信号,信号上升时间、定时、抖动或噪声等都会影响整个系统的可靠性。为保证信号完整性,必需了解和控制信号经过的传输线的阻抗。数据速率的越来越高,信号的上升时间也越来越快,阻抗不匹配和偏差可能会导致反射,当快上升沿的信号在电路板上遇到阻抗不连续的位置就会产生很大的反射,会降低信号质量,影响信号完整性。因此走线阻抗是影响高速信号完整性的一个非常关键的因素。对于高速电路,很重要的一点是要保证信号传输路径上阻抗的连续性,这样可以避免信号产生大的反射。因此需要测试高速电路板的信号传输路径上阻抗的变化情况,从而可以分析问题原因,更好地定位问题的根源,保证高质量的产品快速进入市场。


在高速信号电路设计中,经常采用差分传输模式,差分阻抗的测试不同于单端阻抗测试;另外,在高速信号电路中,多个相邻的信号之间会产生串扰。对PCB走线特别是差分走线的阻抗控制提出了更高的要求。如何验证差分阻抗是否达到设计要求成为高速设计的工程师关注的问题。目前验证电缆、连接器、PCB板、背板等传输线特性阻抗的最常用方法是TDR方法。


2

什么是TDR?

TDR是时域反射计英文(Time Domain Reflectometry)的第一字母缩写,时域反射计(TDR)用来测量信号在通过某类传输环境传导时引起的反射,如电路板走线、电缆、连接器、背板等。TDR是一种通用的时域测试技术,广泛应用于PCB、电缆、连接器、背板、IC等测试领域。TDR可测传输线的特性阻抗,并显示出每个阻抗不连续点的位置和特性(阻抗、感抗和容抗)

图片


3

TDR原理

TDR就是通过向传输路径中发送一个阶跃脉冲信号,阶跃信号将沿着传输线传输,当传输路径中阻抗发生变化, 部分能量就会被反射, 剩余的能量会继续传输,利用仪器观测阶跃脉冲源输入点上的传输线信号,仪器上的波形以时间顺序显示入射和反射传播信号总和。只要知道发射波的幅度及测量反射波的幅度,就可以计算阻抗的变化。同时只要测量由发射波到反射波再到达发射点的时间差就可以计算阻抗变化的位置。

图片

图片


下图是传输线中的阻抗发生变化将导致阶跃脉冲信号的幅度变化。

图片

图片

图片


4

TDR如何计算阻抗

反射系数ρ等于反射回来的电压除以输入电压,反射发生在阻抗不连续的位置。根据反射原理,可以获得待测位置的阻抗。下面的阻抗计算公式,其中Vreflected及Vincident 分别为反射波幅度及入射波幅度,Z为待测阻抗,Zref为TDR的参考阻抗,通常为50欧姆。从下图公式可以看出,当ρ=0时,待测阻抗为标准阻抗Zref;当ρ=1时,待测阻抗为无穷大,表示开路;当ρ=-1时,待测阻抗为0,表示短路。

图片


因此利用示波器可以计算显示出传输线各个点的阻抗,可以在示波器的屏幕上显示一条 TDR阻抗曲线,曲线的每一点对应传输线上的每一点的特性阻抗,下图是利用高精度实时示波器测出的TDR阻抗曲线。

图片


当传输线上存在寄生电容、电感(如过孔)时,在 TDR曲线上可以反映出寄生参数引起的阻抗不连续,而且这些阻抗不连续曲线可以等效为电容、电感或其组合的模型,因而TDR也可以用来进行互连建模。

图片


5

TDR应用


TDR通过对反射现象的观察可以找到被测试线路中的不连续点,如短路、断路、过孔、走线宽度变化等。TDR设备不但可用于PCB走线、连接器、电缆等阻抗测量,还可以发现连接器中、PCB上的拐角和过孔、从连接器转到电路板,或从电路板转到IC封装阻抗不连续点或变化。TDR也可以支持测量PCB走线、线缆的长度。


6

TDR测量项目


TDR可支持的测量的项目如下:

  •  传输线特征阻抗

  •  差分阻抗

  •  单端阻抗

  •  串扰测试

  •  信号传播时延delay和时滞Skew

  •  寄生电感、寄生电容

  •  S 参数


7

差分TDR测量


高速设计大部分都是通过差分传输线实现的,要测差分走线,需差分TDR测量。差分阻抗是指在差分信号驱动下在两条线路中测量的阻抗。为提供真正的差分阻抗测量功能,TDR的两条通道中的每条通道提供了一个极性可选的TDR阶跃,通过这种方法,可以在模拟实际中差分信号,就像DUT 在真实的差分信号下运行一样。

图片

图片


8

TDR分辨率


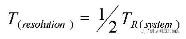
TDR 测量可以有效地考察电路阻抗和信号完整性。许多因素影响着TDR 系统分辨率,即TDR最小的不连续点的距离间隔的能力。如果TDR 系统的分辨率不足,那么间隔很小或间隔紧密的不连续点可能会平滑地转化成波形中的一个畸变。这种效应不仅可能会隐藏某些不连续点,而且可能会导致阻抗读数不精确。上升时间、建立时间和脉冲畸变可能会明显影响TDR 系统的分辨率。电路中任意两个不连续点之间的物理间隔决定了在TDR 波形上彼此之间相对反射位置的接近程度。如果它们的之间的距离不到系统上升时间的一半,那么测量仪器无法区分出两个相邻的不连续点。下面的公式可以得出,阶跃脉冲的上升时间越快,可测的传输线长度越短,分辨率越高。

图片

TDR上升沿时间和分辨率,解析两段不连续的主要规则。


图片


图片


9

TDR 精度


TDR 测量精度有许多因素影响,测试结果的精度以及重复性依赖于TDR 系统的阶跃响应、互连反射和被测传输线的损耗、TDR探头、阶跃幅度精度、基线校正和测量中使用的参考阻抗的精度、操作工程师的经验等。另外,不同的TDR设备和测量方法(包括温度、湿度、校准方式、测试人员、测试方法等)会影响测试结果的精度和重复性。

图片


10

如何改变TDR上升时间


在大多数情况下,越快的上升时间越好,但在某些情况下,太快的上升时间在TDR 测量中会给出误导性结果。例如,利用上升时间为30ps 的TDR测试电路板上微带的阻抗时,会提供完美的分辨率。但是在30ps 上升时间时可能会产生大的反射。上升时间为1.5ns在实际运行中驱动的相同传输线可能会产生非常小的可以忽略不计的反射。测量和真实之间的这种差异可能会引发信号完整性问题。为了与实际信号保持一致,很多规范要求,阻抗测量时TDR的上升时间与实际信号保持一致,如USB2.0要求400ps的TDR上升时间,Infinband要求200ps的TDR上升时间等。改变TDR的上升时间有两种方法:第一种是外加不同上升时间的硬件滤波器来改变TDR的上升时间;第二种是利用示波器的Filter功能进行软件滤波改变TDR的上升时间得到相应的测试结果。


图片

图片


11

如何克服TDR测试中的多重反射现象


进行TDR测试时,可能会遇到芯片内部或PCB背板的各种复杂的走线情况所带来的多重反射现象。当被测走线上有多个阻抗不连续点时,信号在穿越每两个相邻的阻抗不连续点时都会产生反射,所有的反射信号会叠加在一起后反映在示波器上的波形畸变,测量精确下降。多重反射的存在导致工程师无法将测试波形结果与被测的走线相对应,利用TDR软件算法,将原始的TDR测试波形按照反射的情况进行分段,通过去卷积(De-convolution)算法可修正多重反射给测试带来的影响,还原真实的情况,从而得到与DUT走线相符合的真实阻抗测试结果。

图片


下图中绿色波形是由于多重反射导致的测试波形,红色波形是经过软件修正后的波形。

图片


12

TDR和S参数转换


TDR和S参数之间可以相互转换,TDR是时域响应,FFT后可以转换成频域的S参数。S参数是频域响应,测S参数时,实际上相当于给输入了不同频率的正弦波,得到对于所有正弦信号的响应值之后,然后进行IFFT逆傅里叶变换,就能得到时域上的冲激函数,把冲激函数积分,即可得到阶跃的TDR信号,下图是TDR/TDT测试S参数中的S11和S21与VNA测试结果的对比曲线图,红色是VNA测量的S参数曲线,蓝色是TDR得到的S参数曲线,从图看出测试结果有非常好的一致性。

图片


13

TDR 探头


在TDR测试中,特别是PCB板的阻抗测试,需要通过探头将阶跃脉冲信号点测DUT以完成测试,TDR探头由探头前端、探头电缆等组成。TDR探测主要有三类:

  • 手持点测探头

  • SMA探头

  • MicroProbe微探头


图片

图片


14

实时示波器+TDR测阻抗方案


利用高精度实时示波器和上升时间为30ps的TDR阶跃脉冲产生模块可完成阻抗测试。由于TDR模块具有差分TDR脉冲源,可产生单端或者差分的阶跃脉冲信号,因此既可以支持单端阻抗的测试,又可对差分阻抗进行测试。另外,很多规范要求阻抗测量时TDR的上升时间与实际信号保持一致,实时示波器可通过Filter(滤波)功能改变上升时间,从而与实际信号的上升时间保持一致完成更真实的阻抗曲线测试。


图片



新闻中心

联系我们

联系人:厍长江

手 机:13908210781

邮 箱:keyitongdianzi@163.com

公 司:成都科仪通电子仪器有限公司

地 址:成都市武候区武兴二路1号(吾悦广场1B 812)

用手机扫描二维码关闭
二维码