欢迎光临~成都科仪通电子仪器有限公司
服务热线全国服务热线:

028-86032217

您的位置:网站首页 > 公司新闻

公司新闻

网络分析仪有效系统数据的含义和测量方法

网络分析仪测量精度/不确定度计量校准方法,参见文章:

矢量网络分析仪的计量传递标准~校验件

上述校验方法是业界进行网络分析仪计量校准的常用方法,校验结果获得的准确度,与有效系统数据是完全对应的。


出于学术研究或其他目的,有效系统数据可以从测量不确定度中分解计算得来,也可以通过下文中的方法测量和计算获得。

精确的有效系统数据分析方法,需要使用网络分析仪的时域测试模式,采用时间门得到相关反射峰的频域数值,分解得到系统有效数据。如果没有时域选件和计算工具软件,另外可以使用纹波法,是一种系统数据的简易估算方法。


系统有效数据定义


图片


系统有效数据时域测量方法


01

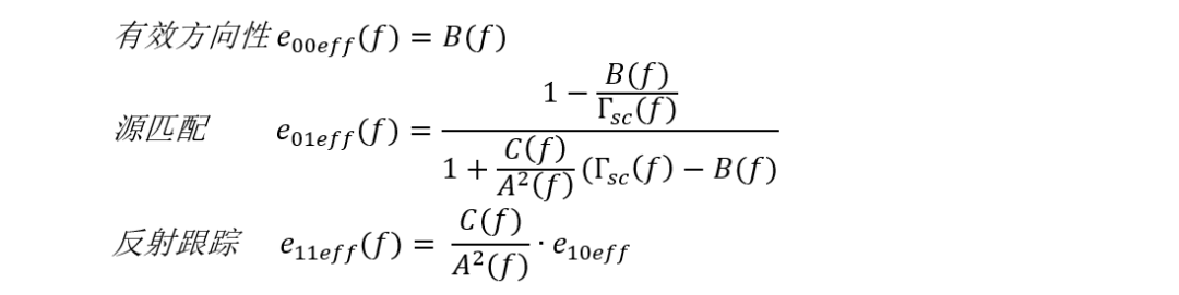
方向性/源匹配和反射跟踪

图片

图片

图片

02

负载匹配

双端口间直连,直接测量S11和S22,分别对应前向和反向的有效负载匹配。


03

传输跟踪

双端口间直连,测量S21S12,平滑去纹波,分别对应前向和反向的有效传输跟踪。


04

反射跟踪

在被测端口,如端口1,分别连接校准件短路器和开路器测试S11,反射跟踪

Tr = (S11_Open+S11_Short)/2


系统有效数据纹波法测量

当被检网络分析仪没有上述时域功能时,采用空气线加负载测量方向性,采用空气线加短路器测量源匹配,具体方法如下:

在校准后的被测端口连接空气线和负载(或20dB失配器)S11 LinMag曲线如下例图,读取纹波起伏最大处的峰峰值Mp

图片

有效方向性 = Mpp/2

在校准后的被测端口,连接空气线和短路器,S11LinMag曲线如下例图,读取纹波起伏最大处的峰峰值Mpp。

图片

源匹配 = Mpp/(2·Γs)

转载:www.cdkeyitong.com

新闻中心

联系我们

联系人:厍长江

手 机:13908210781

邮 箱:keyitongdianzi@163.com

公 司:成都科仪通电子仪器有限公司

地 址:成都市武候区武兴二路1号(吾悦广场1B 812)

用手机扫描二维码关闭
二维码